Forget the rat’s nest of ground wires. The UltraLite™ installs directly at ground level using its chrome/aluminum Permanent Mount Assembly, or elevate it with our optional Quadrastand. No tools required for most setups.
Quick Assembly Breakdown:
Full setup can be completed in under 10 minutes.

Covers 10–40 m, arrives pre-assembled & tuned, and sets up in minutes with the QuadraStand.
No radials, no tower and no control cables. Just Coax!
Includes:
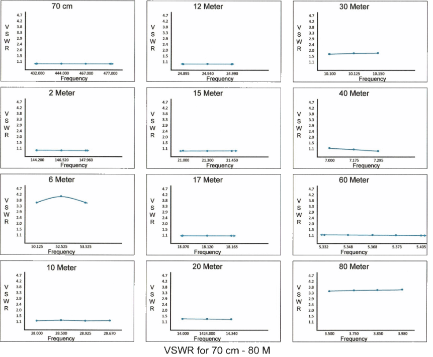
The 7 plots represent the VSWR performance of the antenna using 50 feet of quality RG-8X coax, 100W output power, with the antenna mounted approximately 27 inches above ground with no external objects, metallic or otherwise, within a 20-foot radius of the antenna. The term “bandwidth” here refers to the range of frequencies that the antenna covers.